Startseite - erstes Rätsel - Chat - Chat - Quiz - Rätselverzeichnis - Wie alles begann ... - Zufallsrätsel - letztes Rätsel

Galerie - A - B - C - D - E - F- G - H - I - J - K - L - M - N - O - P - Q - R - S - T - U - V - W - X - Y - Z

Mathe und Physik Applets Newton Fraktale

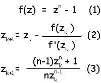
Nullstellen von Funktionen erhält man mit dem Interationverfahren von Newton. Dieses Verfahren führt auch bei komplexen Funktionen zum Ziel. Die Iterationformel (2) erhält speziell für f(z) die Gestalt (3). Dabei erhält man die Ableitung von f(z) nach der üblichen Regel für Parabel-Funktionen.

Die komplexe Funktion f(z) hat nun die n Einheitswurzeln als Nullstellen. Jeder Zahl z aus der Zahlenebene ist nun Startwert einer Newtonfolge. Der Punkt wird danach eingefärbt, nach welcher Einheitswurzel die Folge konvergiert.

Mit Taste Paint wird zu jedem der 500x400 Punkte die Newtonfolge untersucht. Das dauert etwas.
Reset stellt die Anfangssituation wieder her.
Mit expo wird der Exponent n eingestellt.
Mit iter wird die Folge beschränkt. Es wird nur bis zum Folgenglied iter untersucht. Konvergiert eine Folge bis dahin nicht eindeutig, so bleibt der Punkt schwarz.
Mit der Maus können Ausschnitte gewählt werden, die dann -Taste Paint- vergrößert gezeichnet werden.

Raumgeometrie - Raumgeometrie - Rotationskörper - Rotation einer Kurve - Kegelschnitt - Pyramide - Prisma - Würfelspiel - Kugeldreieck - Flächen im Raum - Physik - Massenspektrograph von Ashton - Massenspektrograph von Thomsen - Rutherford Experiment Streuung - Elektrisches Feld von Punktladungen - Elektrisches Feld 3D - Die Größen einer Welle - Wellenwanne - Interferenz zweier Wellen - Zerfallsreihe - Mechanische Stoss - 1- und 2-dim. Bewegung - Interferenz Doppelspalt - Schiefer Wurf - Landung auf Melmac - Fraktale - Mäuschen Lauf und Fadengrafik - Punktfolgen 1 - 4 - Fraktalgenerator - Newton Fraktale - Analysis - Taylor Polynome - Aufblasung - Iterations Verfahren - Funktion mit 2 Variablen - Parameter und Kurven von Funktionen -

Quelle: http://www.pk-applets.de/ e-mail: mailto:peter_kraus@pk-applets.de

 

Rätselverzeichnis - Wie alles begann ... - Zufallsrätsel - erstes Rätsel

Galerie - A - B - C - D - E - F- G - H - I - J - K - L - M - N - O - P - Q - R - S - T - U - V - W - X - Y - Z

Jacob Burckhardt - Die Kultur der Renaissance in Italien. Ein Versuch

Leonardo da Vinci Wissenschaftler - Erfinder - Künstler

Venedig - Eine Liebeserklärung an eine Stadt

William Shakespeare animiert (wahrscheinlich oder zufällig...2/3 zu 1/3) William Turner

Philosophie für Schnelldenker - Besinnliche Philosophie

Philosophie der Renaissance

Gästebuch

Startseite - © Copyright 2004-2009 - Susanne Albers - Kiehlufer 125 - D 12059 Berlin